Nanomagnetism News
Latest News
Mikel Quintana receives the Extraordinary Doctorate Award 2024
Critical Scaling of Dynamic Phase Transitions in magnetic films
In a recent article published in Physical Review Letters (Phys. Rev. Lett. 131, 116701 (2023)) and selected as an Editor’s suggestion, Mikel Quintana and Andreas Berger from the Nanomagnetism group at nanoGUNE succeeded in experimentally detecting and quantifying critical scaling near the dynamic phase transition (…
Registration period for the summer internship program open
Publication of the 2022 magneto-optics roadmap
Under the editorial leadership of nanoGUNE’s Nanomagnetism group leaders Paolo Vavassori and Andreas Berger, the Journal of Physics D – Applied Physics has now published its 2022 magneto-optics Roadmap. An upcoming Webinar focused on the Roadmap will also explore the latest developments in magneto-optics science…
CIC nanoGUNE expands its patent portfolio
The granting of three patents plus an additional three new patent applications considerably enrich CIC nanoGUNE's industrial property portfolio. The center currently has 25 patent applications in the fields of health, optics, materials science and electronics, all at the nanoscale, of course. In addition, 17…
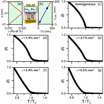
Overriding Universality via nano-scale Materials Design
In a recent article published in Physical Review Letters (Phys. Rev. Lett. 127, 147201 (2021)), researchers from the Nanomagnetism group at nanoGUNE in collaboration with scientists from the US and Colombia have demonstrated that it is possible to design thermodynamic critical exponents a la carte and override the…
Dr. Lorenzo Fallarino has been recently nominated as Emerging Leader in Applied Physics
Dr. Lorenzo Fallarino, researcher in CIC nanoGUNE´s Nanomagnetism group, has been recently invited by the Editorial Board of Journal of Physics D: Applied Physics to publish a Topical Review on "Graded Magnetic Materials" and separately, he was nominated to contribute to a special issue of the journal highlighting…
Publication of the 2020 Magnetism Roadmap
nanoGUNE PhD Workshop 2020
nanoGUNE launches a new summer internship call for university students
Fast and selective optical heating for functional nanomagnetic metamaterials
In a recent article published in Nanoscale, researchers from the Nanomagnetism group at nanoGUNE demonstrate the use of hybrid magnetic-plasmonic elements to facilitate contactless and selective temperature control in magnetic functional metamaterials. Compared to so-far used global heating schemes, which are slow…
Students from UPV / EHU, Tecnun, UAB and the UB carry out summer internships at CIC nanoGUNE
Apply for a Basque PhD grant with nanoGUNE
NanoGUNE, located at the Ibaeta Campus of the UPV/EHU in Donostia – San Sebastián, offers PhD opportunities to graduates in Physics, Chemistry, Engineering, Biology, and related areas to get their PhD degree.
2017 Magnetism Roadmap
With the co-authorship of nanoGUNE’s Nanomagnetism group leaders Dr. Andreas Berger and Dr. Paolo Vavassori, the Journal of Physics D – Applied Physics just published the 2017 Magnetism Roadmap. As a whole, the 2017 Magnetism Roadmap, which is an Open Access article, is intended to act as a reference point and…
The strangeness of slow dynamics
In a recent article published in Physical Review Letters (PRL 118, 117202 (2017)), researchers from the Nanomagnetism group at nanoGUNE reported so-far unknown anomalies near dynamic phase transitions (DPTs). Such anomalies do not exist in corresponding thermodynamic phase transitions (TPTs), and thus, they…
Fabrication and characterization of magnetic thin films and multilayers, PhD Thesis by Lorenzo Fallarino
Lorenzo Fallarino, Pre-doctoral Researcher at the Nanomagnetism Group at CIC nanoGUNE, received his PhD at the University of the Basque Country (UPV/EHU) after the defense of his thesis project on Thursday 26th of January 2017. His research work, entitled “Fabrication and characterization of magnetic thin films and…
Summer Internship Program: call open until 5 February
Designer magneto-optics with plasmonic magnetic nanostructures, PhD Thesis by Nicolò Maccaferri
Nicolò Maccaferri, Pre-doctoral Researcher at the Nanomagnetism Group at CIC nanoGUNE, received his PhD at the University of the Basque Country (UPV/EHU) after the defense of his thesis project on 9 December 2016. His research work, entitled “Designer magneto-optics with plasmonic magnetic nanostructures", has been…
Reconfigurable magnetic nanopatterns
A team of international scientists led by researchers of the CUNY Advanced Science Research Center (ASRC) and the Politecnico of Milan, and involving researchers from nanoGUNE, has demonstrated a novel approach for designing fully reconfigurable magnetic nanopatterns whose properties and functionality can be…
Remote control actuation goes down to nanoscale
Researchers of the Nanomagnetism Group and Electron Microscopy Group at CIC nanoGUNE devised and demonstrated a novel approach to nanoactuation that relies on magnetomechanics instead of the conventional electromechanics utilized in micro and nanoactuated mechanical systems. The work was reported in Small.
Magneto-optics on the edge
In an article published and featured as an Editors’ suggestion in Physical Review Letters last week (PRL 115, 187403 (2015)), researchers from the Nanomagnetism group at nanoGUNE in collaboration with a team from the University of Cantabria and the University of Hamburg have reported on a massive increase of…
Interview with Dr. Berger published on JPhys+
An interview with Dr. Andreas Berger, nanoGUNE´s research director, has been published on JPhys+, the physics blog from IOP Publishing in the UK. The interview is part of a series of interviews that JPhys+ has conducted during this year with editors of the Journal of Physics Series, and revolves around the research…
The Piero Brovetto Award 2015 goes to Nicolò Maccaferri
Nature Communications: ultrasensitive magnetoplasmonic sensors
Systems allowing label-free molecular-level detection are expected to have enormous impact on biochemical sciences. Research focuses on materials and technologies based on exploiting the coupling of light with electronic charge oscillations, the so-called localized surface plasmon resonances, in metallic…
nanoGUNE Scholarship: call for Master Thesis students
Dr. Berger, appointed Section Editor of Journal of Physics D: Applied Physics
ETP Nanomedicine Annual Event 2014
NanoGUNE hosts more than 120 experts in nanotechnology and medicine at the 2014 Annual Event & General Assembly of the European Technology Platform on Nanomedicine (ETPN). The ETPN event has taken place on 15 and 16 October 2014, co-organized by the nanoBasque Agency (SPRI) and nanoGUNE, the Basque Nanoscience…
Two-Dimensional Programmable Manipulation of Magnetic Nanoparticles on-Chip
Researchers from the Nanomagnetism Group at nanoGUNE have developed a novel device for on-chip selective trap and two-dimensional remote manipulation of single and multiple fluid-borne magnetic particles using field controlled magnetic domain walls in circular nanostructures. The combination of differently shaped…
PRL: Tuning the Magneto-Optical Response of Nanosize Ferromagnetic Ni Disks Using the Phase of Localized Plasmons
A team of researchers from different research centers and institutions, including nanoGUNE, has shown the physical mechanism underlying the ability to control the polarization of light exploiting the excitation of collective oscillations of conduction electrons in nanosize magnetic disks. The research was recently…
Magnetization reversal behavior of ferromagnetic thin films and nano-structures
On Friday 27 September, nanoGUNE’s pre-doctoral researcher Olatz Idigoras received her doctoral Degree at the University of the Basque Country (UPV/EHU) with a thesis entitled “Magnetization reversal behavior of ferromagnetic thin films and nano-structures”
2nd nanoIKER Workshop
The 2nd nanoIKER Workshop took place at Tecnalia Headquarters in the Science & Technology Park of Bizkaia on June 10, 2013.
New technology in the magnetic cooling of chips
A team of CIC nanoGUNE researchers has participated in the development of a new technology that will enable the environmental impact to be minimized. The work has been published in the prestigious journal Nature Materials.
Crystallography drives Exchange Bias in epitaxial Co/CoO bilayer films
In a recent article, published in Physical Review Letters (PRL 109, 177205 (2012)) researchers from the Nanomagnetism group and Electron-Microscopy laboratory at nanoGUNE have reported on the crystallography-driven appearance of positive exchange bias in epitaxial Co/CoO bilayers.
Nature Communications: Correlative infrared-electron nanoscopy
A new nanoimaging method for resolving the interplay between local structure, conductivity, and chemical composition
Nanotechweb: new property of nanoscale metallic ferromagnets
As reported in nanotechweb, researchers at nanoGUNE and Chalmers University have discovered a fundamentally new property in nanoscale ferromagnetic nanoantennas – their ability to control the sign of rotation of polarized scattered light. This “Kerr rotation reversal” effect arises from the interplay between…
Symposium on nanomagnetism co-organized by nanoGUNE
Dr. Andreas Berger, nanoGUNE Research Director and leader of the nanomagnetism group, co-organizes New Trends and Developments in Nanomagnetism, a symposium that will be celebrated in the framework of the Spring Meeting 2012 of the Materials Research Society. This symposium is focusing on recent trends in nanoscale…
Viewpoint article in Physics about nanoGUNE publication
The article Cumulative minor loop growth in Co/Pt and Co/Pd multilayers, co-authored by Andreas Berger, nanoGUNE’s Research Director and Leader of the Nanomagnetism group, was the selected topic of a Viewpoint article in the journal Physics, in which the American Physical Society (APS) highlights exceptional papers…
Agenda
| Mon | Tue | Wed | Thu | Fri | Sat | Sun |
|---|---|---|---|---|---|---|
|
23
|
24
|
25
|
26
|
27
|
28
|
1
|
|
|
|
|
|
|
|
|
|
2
|
3
|
4
|
5
|
6
|
7
|
8
|
|
|
|
|
|
|
|
|
|
9
|
10
|
11
|
12
|
13
|
14
|
15
|
|
|
|
|
|
|
|
|
|
18
|
19
|
20
|
21
|
22
|
||
|
|
|
|
|
|
||
|
23
|
24
|
25
|
26
|
27
|
28
|
29
|
|
|
|
|
|
|
|
|
|
30
|
31
|
1
|
2
|
3
|
4
|
5
|
|
|
|
|
|
|
|
|
